Free Access

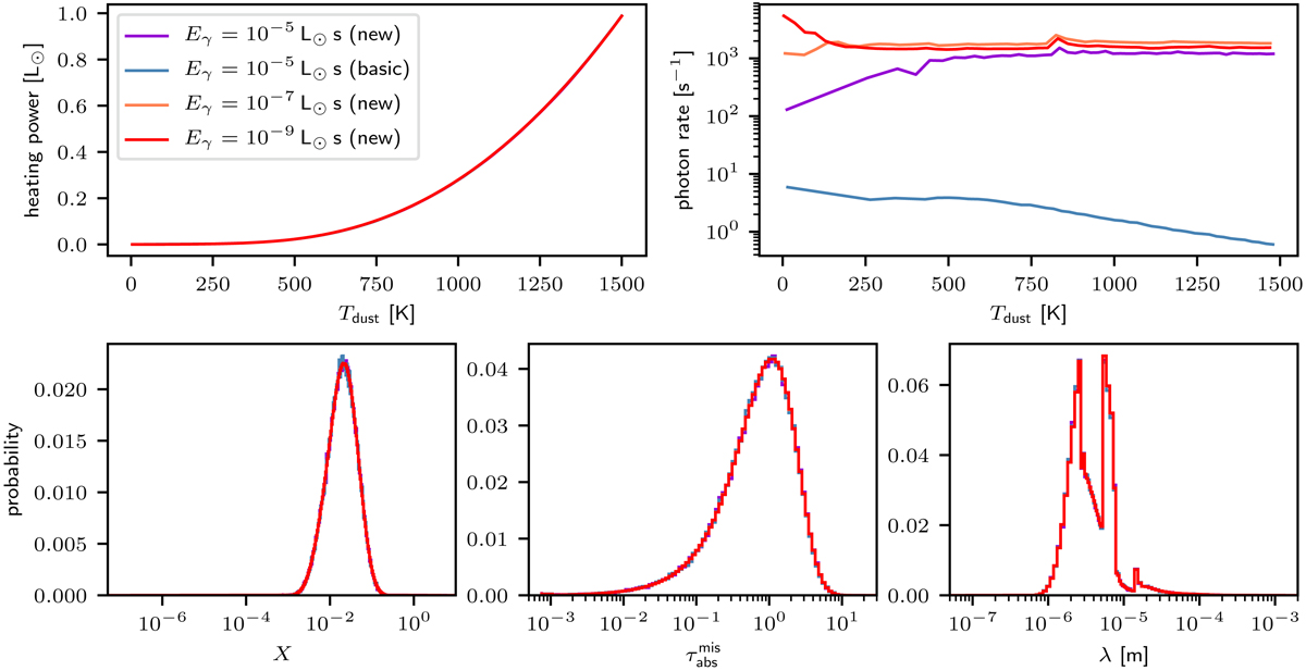
Fig. 7.

image

Viability and performance test – comparison between the basic Monte Carlo method and our method. Setup: a dense sphere with a radial effective extinction optical depth is heated by a central source from 2.73 K to 1500 K. Upper left: heating curves of the sphere show high level of agreement. Upper right: performance comparison. Bottom: emitted photon statistic shows high level of agreement.

Current usage metrics show cumulative count of Article Views (full-text article views including HTML views, PDF and ePub downloads, according to the available data) and Abstracts Views on Vision4Press platform.

Data correspond to usage on the plateform after 2015. The current usage metrics is available 48-96 hours after online publication and is updated daily on week days.

Initial download of the metrics may take a while.