Free Access

Fig. 7

image

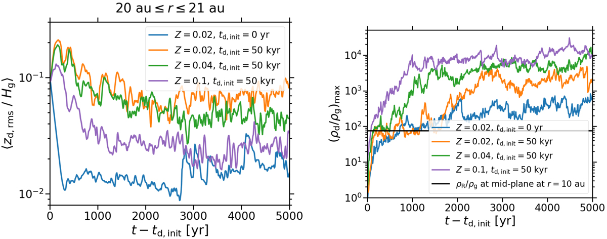
Ratio of the dust scale height to the gas scale height Hg (left panel) and maximum of the dust-to-gas density ratio ρdρg (right panel)as functions of t after the dust is introduced at td,init. We compute the dust scale height as the root mean square of the vertical particle positions zd, and average the scale height ratio over 1 au spanning from r = 20  to 21 au. For a dust-to-gas surface density ratio of Z = 2%, the dust scale height amounts to ~1% of the gas scale height if the streaming instability induces the vertical diffusion of the dust (blue line). On the other hand, it is equal to ~10% for the same surface density ratio if the diffusion is caused by the vertical shear instability (orange line). The scale height which is induced by the vertical shear instability decreases with increasing surface density ratio (green and purple line). However, it is higher than the value that the streaming instability gives rise to for all surface density ratios that we consider. In contrast, the maximum dust volume density is significantly smaller if the streaming instability drives the turbulence in the dust layer than if the turbulence is caused by the vertical shear instability. In the former case, the dust-to-gas volume density ratio amounts to a few hundred for a surface density ratio of 2%. In the latter case, on the other hand, it exceeds 103 for the same surface density ratio, and 104 for a surface density ratio of 10%. In all cases, the maximum dust density is greater than the Roche density ρR in the midplane at the inner radial boundary of the simulation domains, i.e., the maximum Roche density in the simulations. The ratio of this Roche density to the gas density is marked as a black line.

Current usage metrics show cumulative count of Article Views (full-text article views including HTML views, PDF and ePub downloads, according to the available data) and Abstracts Views on Vision4Press platform.

Data correspond to usage on the plateform after 2015. The current usage metrics is available 48-96 hours after online publication and is updated daily on week days.

Initial download of the metrics may take a while.