Free Access

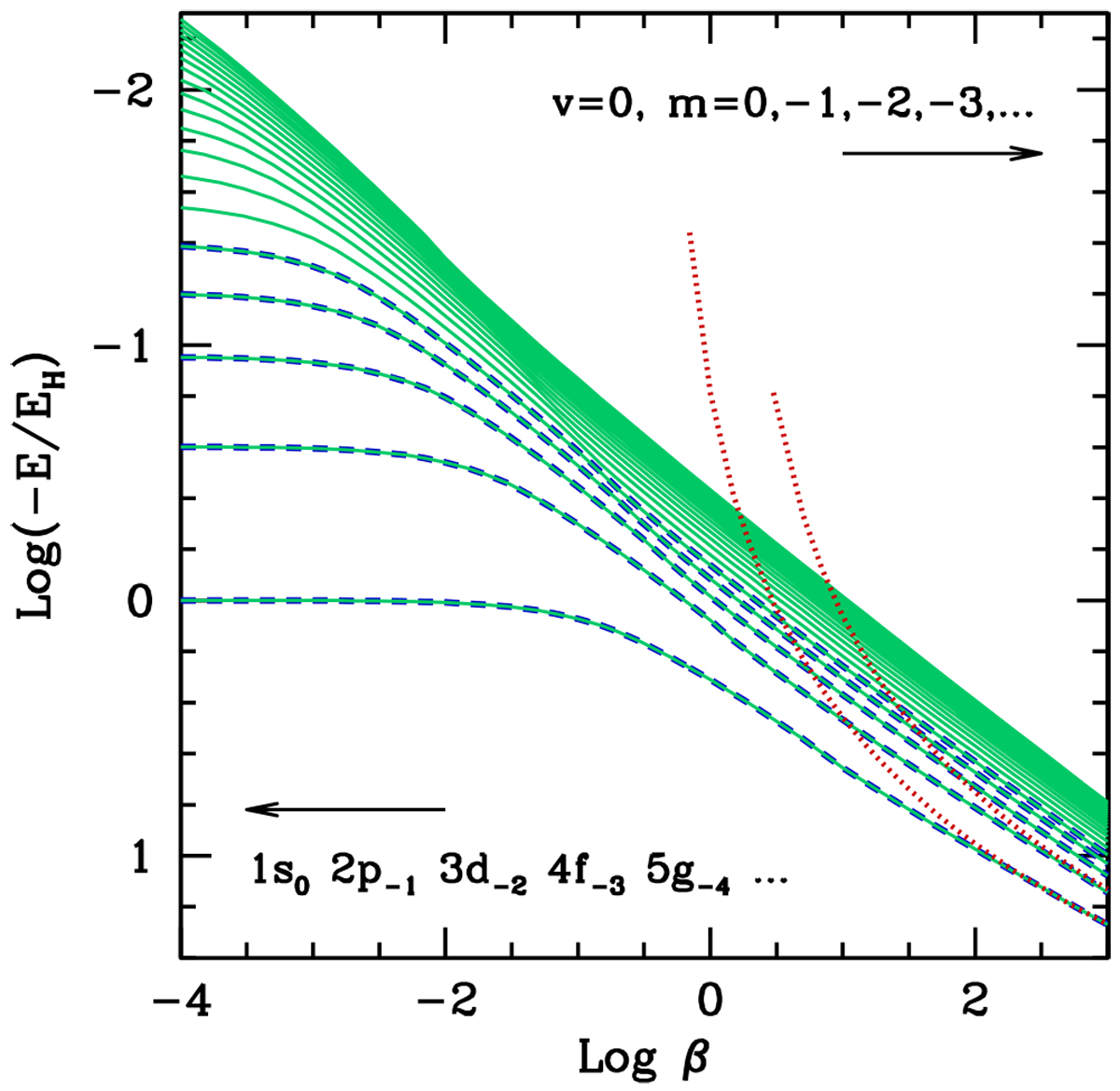
Fig. 1

image

Energies of tightly bound states (ν = 0) of atoms at rest and infinite nuclear mass, as a function of the magnetic field. Shown are the numerical results from Schimeczek & Wunner (2014) for the lowest five states (0 ≥ m ≥−5) with spin-down (dashed lines); our fits and extrapolations up to m = − 19 (solid lines); and the asymptotic approximations given by Eq. (14) for m = 0, −1 (dotted lines).

Current usage metrics show cumulative count of Article Views (full-text article views including HTML views, PDF and ePub downloads, according to the available data) and Abstracts Views on Vision4Press platform.

Data correspond to usage on the plateform after 2015. The current usage metrics is available 48-96 hours after online publication and is updated daily on week days.

Initial download of the metrics may take a while.