Free Access

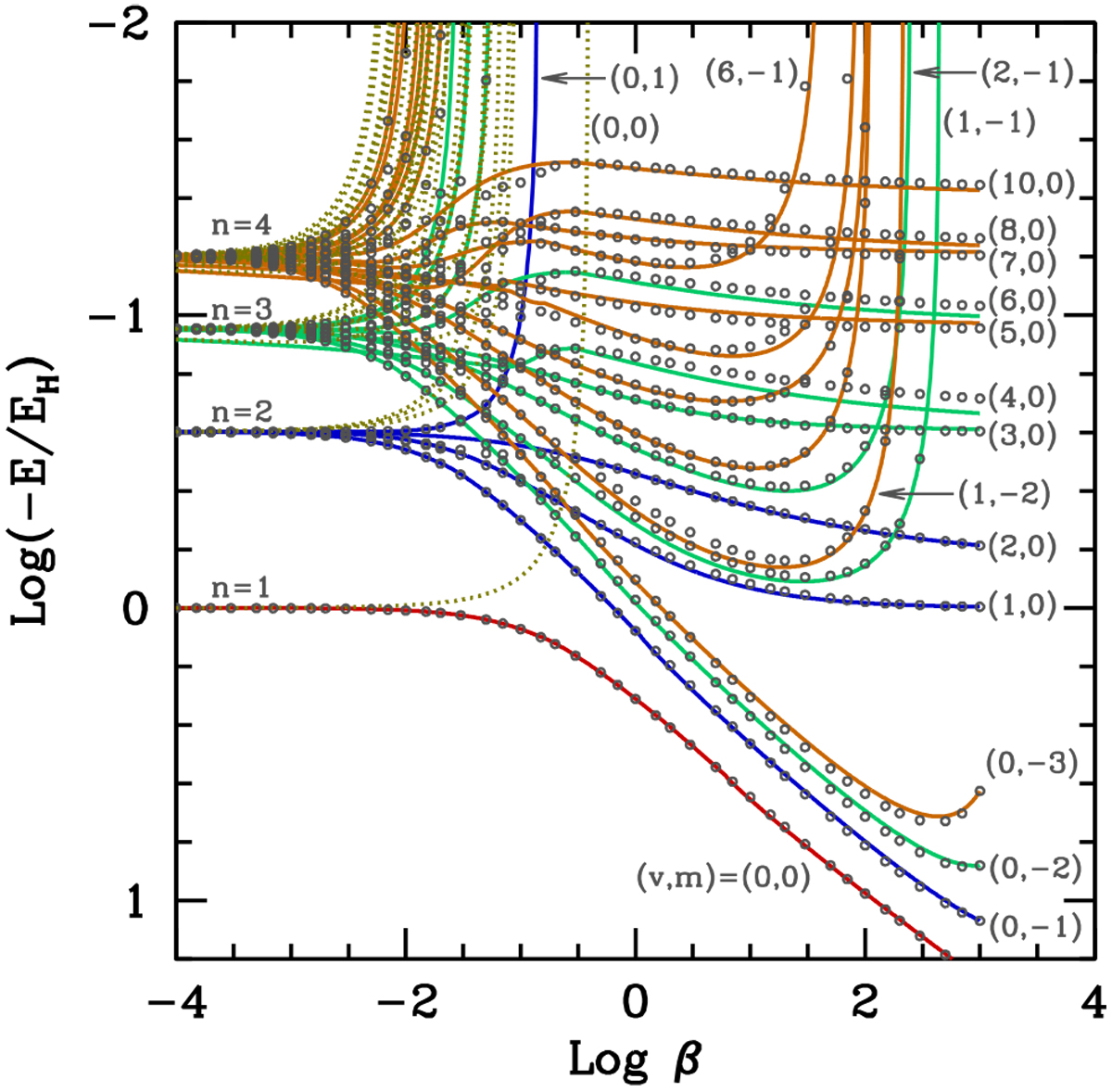
Fig. 3

image

Energies of magnetized atoms at rest coming from Bohr levels n = 1, 2, 3, and 4, as a function of the field intensity. Finite nuclear mass effects are included. Lines representfits used in this work for spin-down (solid) and spin-up (dotted) states. Symbols correspond to spin-down values calculated by Schimeczek & Wunner (2014). Some (ν, m) states are indicated on the plot.

Current usage metrics show cumulative count of Article Views (full-text article views including HTML views, PDF and ePub downloads, according to the available data) and Abstracts Views on Vision4Press platform.

Data correspond to usage on the plateform after 2015. The current usage metrics is available 48-96 hours after online publication and is updated daily on week days.

Initial download of the metrics may take a while.