Free Access

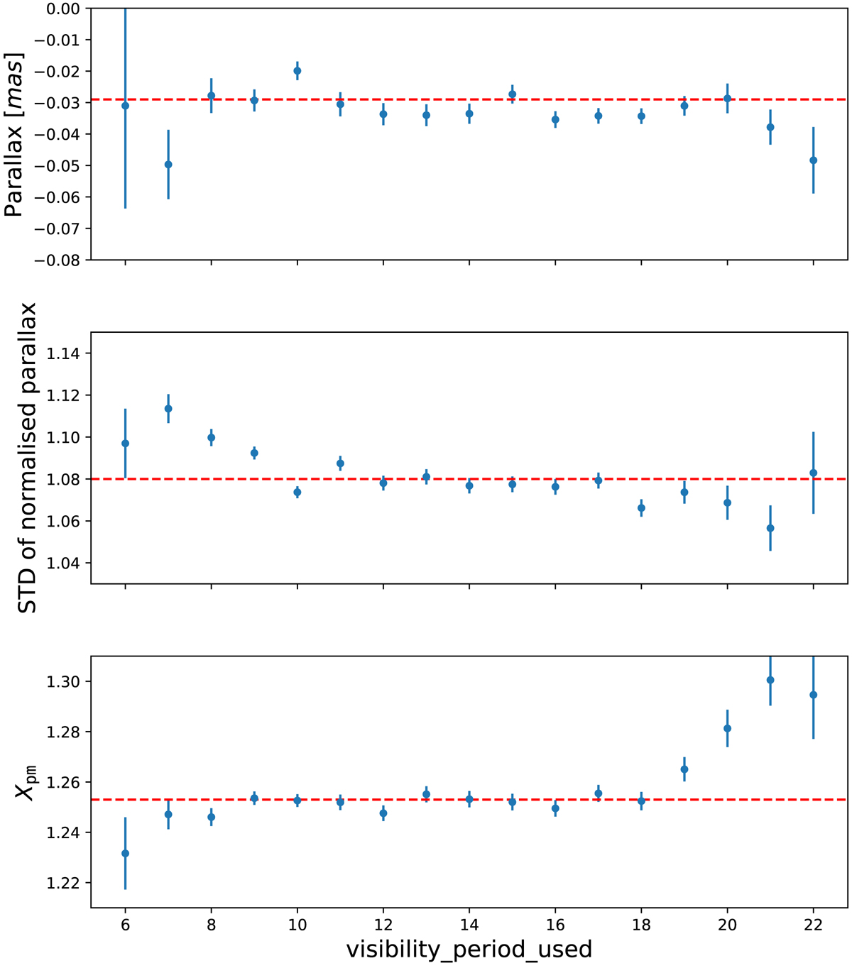
Fig. 3.

image

Top: mean values of parallaxes plotted against number of visibility periods. Middle: standard deviations of the normalised centred parallaxes plotted against the number of visibility periods. Bottom: mean values of normalised proper motion difference Xpm plotted against the number of visibility periods. Dashed lines represent the mean values of the full sample.

Current usage metrics show cumulative count of Article Views (full-text article views including HTML views, PDF and ePub downloads, according to the available data) and Abstracts Views on Vision4Press platform.

Data correspond to usage on the plateform after 2015. The current usage metrics is available 48-96 hours after online publication and is updated daily on week days.

Initial download of the metrics may take a while.