Free Access

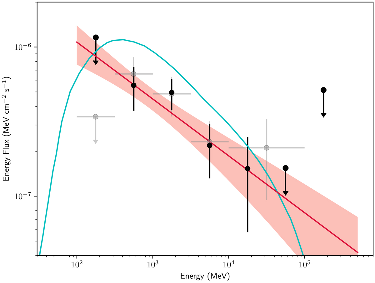
Fig. 5.

image

Spectrum from γ2 Velorum. The red line corresponds to the best-fit PL spectral shape and has an uncertainty of 1σ. The 95% confidence level upper limits are used for energy bins with less than 2σ detection. Data from Pshirkov (2016) are shown in grey. Emission from Reitberger et al. (2017) at apastron is shown in blue. The spectrum was obtained assuming Γ = 2.0 per each energy bin by default with fermipy (Γ = 2.39 provides fully compatible results).

Current usage metrics show cumulative count of Article Views (full-text article views including HTML views, PDF and ePub downloads, according to the available data) and Abstracts Views on Vision4Press platform.

Data correspond to usage on the plateform after 2015. The current usage metrics is available 48-96 hours after online publication and is updated daily on week days.

Initial download of the metrics may take a while.