Free Access
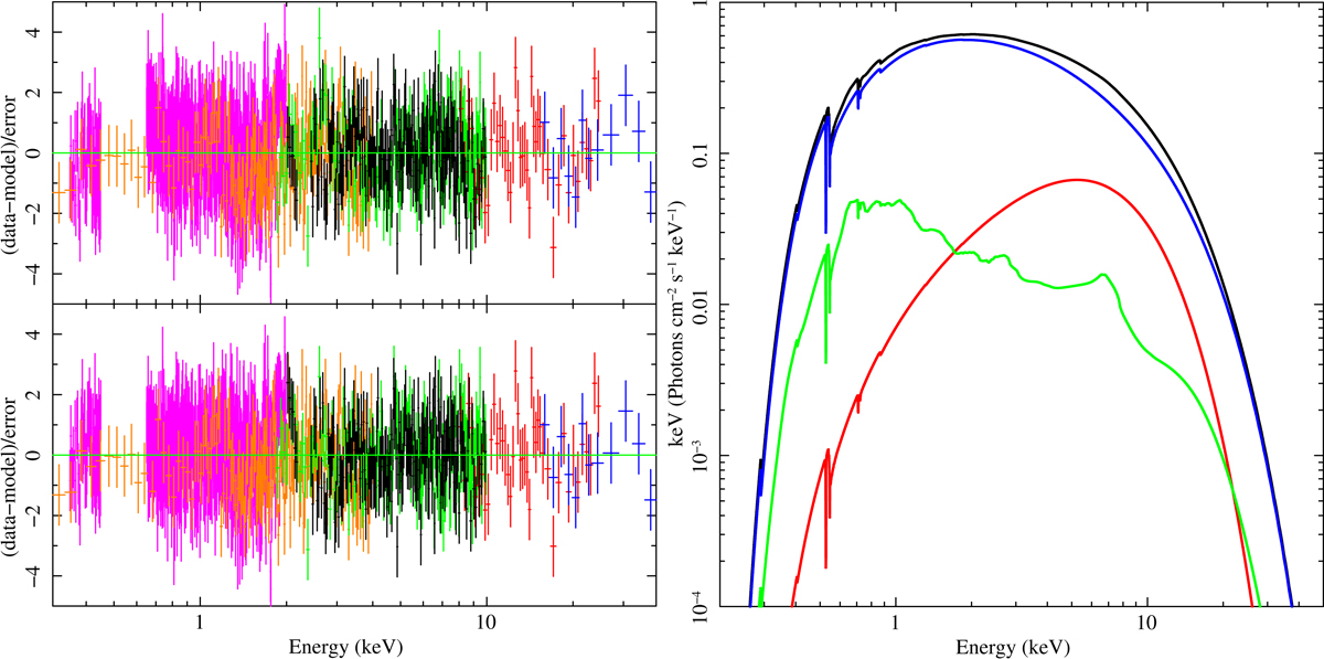
Fig. 5.

Left panels: residuals corresponding to Model 3 and Model 4 (top and bottom panel, respectively). The colors are defined in Fig. 4. Right panel: unfolded spectrum corresponding to Model 4. The blue, red, and green curves represent NTHCOMP, BBODYRAD, and the smeared reflection of the Comptonized component, respectively.
Current usage metrics show cumulative count of Article Views (full-text article views including HTML views, PDF and ePub downloads, according to the available data) and Abstracts Views on Vision4Press platform.
Data correspond to usage on the plateform after 2015. The current usage metrics is available 48-96 hours after online publication and is updated daily on week days.
Initial download of the metrics may take a while.