Free Access

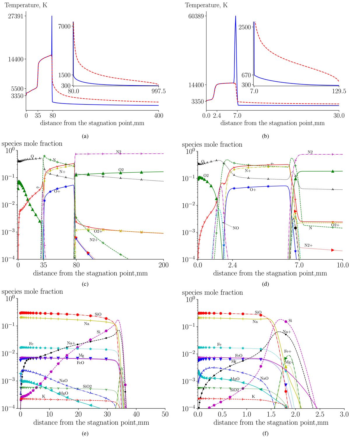
Fig. 3

image

Flowfield results along the stagnation streamline of the H5 chondrite. Panel a: temperature profile of the 1.0 m radius at 50 km altitude; panel b: temperature profile of the 0.1 m radius at 50 km altitude: T, Tve; panel c: composition of the air species of the 1.0 m radius at 50 km altitude; panel d: composition of the air species of the 0.1 m radius at 50 km altitude; panel e: composition of the evaporation products of the 1.0 m radius at 50 km altitude; panel f: composition of the evaporation products of the 0.1 m radius at 50 km altitude.

Current usage metrics show cumulative count of Article Views (full-text article views including HTML views, PDF and ePub downloads, according to the available data) and Abstracts Views on Vision4Press platform.

Data correspond to usage on the plateform after 2015. The current usage metrics is available 48-96 hours after online publication and is updated daily on week days.

Initial download of the metrics may take a while.