Press Release
Free Access

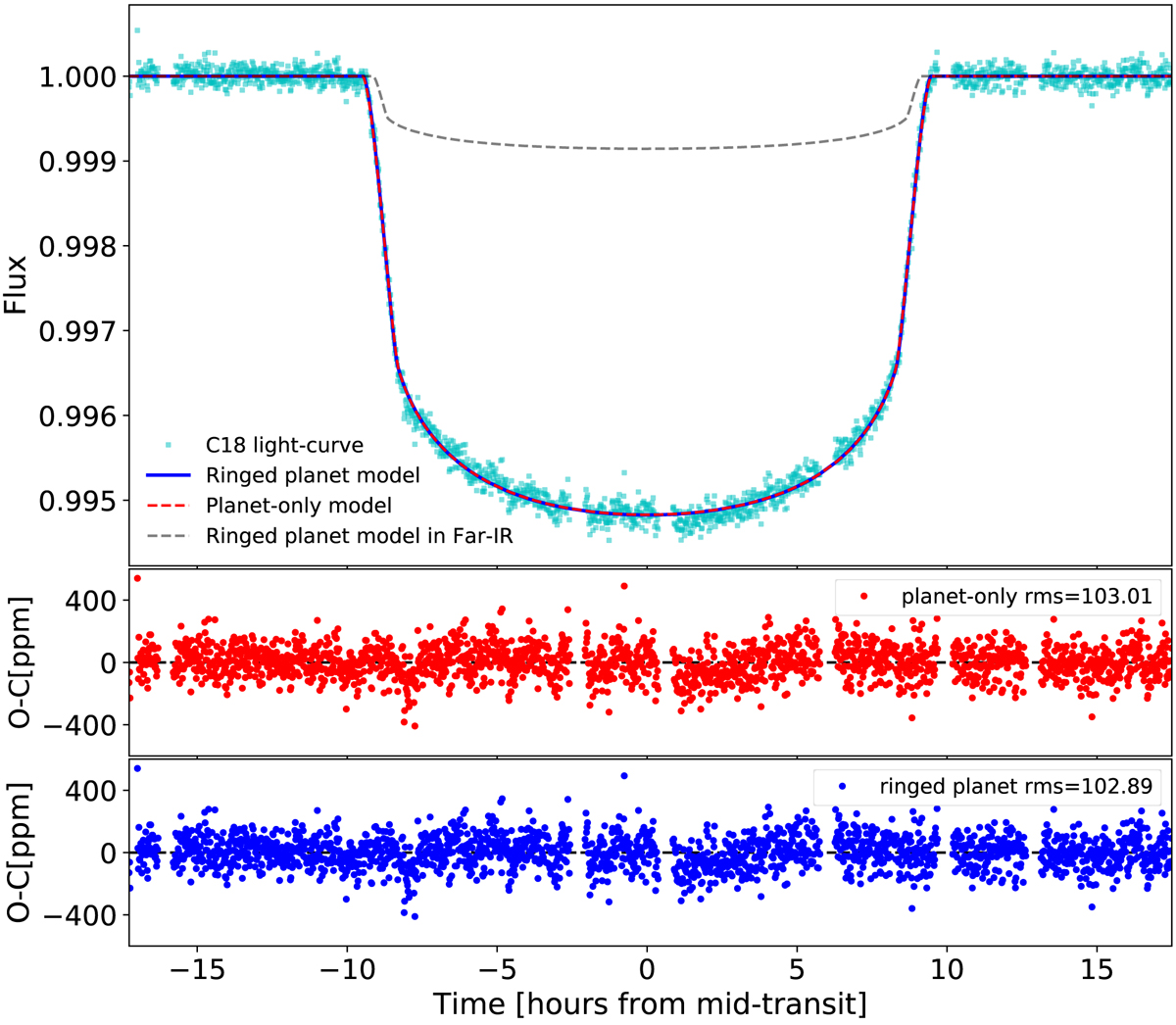
Fig. 3.

image

Fit of the planet-only (red dashed line) and the ringed planet (blue solid line) to the C18 SC data (cyan points). The residuals of same colour are also shown with the rms value in ppm. Also plotted in the top panel (grey dashed line) is the predicted light curve when the ringed planet is observed in the FIR where rings are expected to be transparent.

Current usage metrics show cumulative count of Article Views (full-text article views including HTML views, PDF and ePub downloads, according to the available data) and Abstracts Views on Vision4Press platform.

Data correspond to usage on the plateform after 2015. The current usage metrics is available 48-96 hours after online publication and is updated daily on week days.

Initial download of the metrics may take a while.