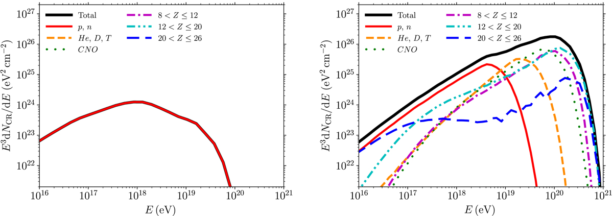
Fig. 1.

Cosmic-ray spectra for one source with pure iron injection with spectral index α = 1.8, photon field with , and acceleration efficiency ηacc = 0.2. We show the total spectrum (black) and the composition (other colors), as indicated in the legend, for TDE around a black hole of mass Mbh = 7 × 106 M⊙, with a corresponding SED in its high state with Lpk = 1047.5 erg s−1 and tdur = 105 s (left) and in its medium state with Lpk = 1046 erg s−1 and tdur = 106 s (right) for a source distance dL, 1 = 1.88 Gpc. Here, we assume ξCR = 1.
Current usage metrics show cumulative count of Article Views (full-text article views including HTML views, PDF and ePub downloads, according to the available data) and Abstracts Views on Vision4Press platform.
Data correspond to usage on the plateform after 2015. The current usage metrics is available 48-96 hours after online publication and is updated daily on week days.
Initial download of the metrics may take a while.