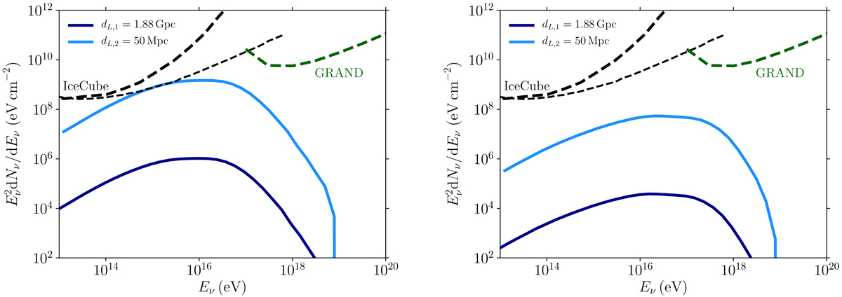
Fig. 2.

Neutrino spectra for three flavors for one source with same characteristics as in Fig. 1. We show the total spectra (in eV cm−2) for a high state SED with Lpk = 1047.5 erg s−1 (left) and a medium state SED with Lpk = 1046 erg s−1 (right). We consider two different distances dL, 1 = 1.88 Gpc (dark blue) and dL, 2 = 50 Mpc (light blue). The IceCube and projected GRAND (GRAND Collaboration 2020) sensitivities are also shown (dashed black and green lines). For the IceCube sensitivities, we show two cases depending on the declination: 0° < δ < 30° (most favorable case, thin line) and 30° < δ < 60° (Swift J1644+57 case, thick line) (Aartsen et al. 2014).
Current usage metrics show cumulative count of Article Views (full-text article views including HTML views, PDF and ePub downloads, according to the available data) and Abstracts Views on Vision4Press platform.
Data correspond to usage on the plateform after 2015. The current usage metrics is available 48-96 hours after online publication and is updated daily on week days.
Initial download of the metrics may take a while.