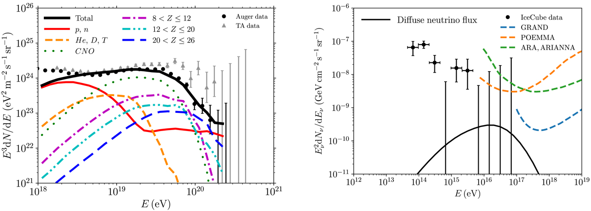
Fig. 3.

Diffuse cosmic-ray (left) and neutrino (right) spectra from a population of jetted TDEs obtained for an injection of 70% Si and 30% Fe, with spectral index α = 1.5, ξCRfs = 2.6 × 10−3 and source evolution derived in this work, with maximum bolometric luminosity in the population Lmax = 6.8 × 1046 erg s−1 (in the medium state). Left: total spectrum (black) and its composition. We superimposed data from the Auger experiment (black dots, The Pierre Auger Collaboration 2015) and from the Telescope Array experiment (gray dots, Fukushima 2015) for which only statistical uncertainties are shown. Right: diffuse neutrino flux for three flavors (black), the diffuse neutrino flux measured by the IceCube experiment (IceCube Collaboration 2017), and the projected limits for GRAND (GRAND Collaboration 2020), ARA/ARIANNA (Allison et al. 2015; Barwick et al. 2015), and POEMMA (Neronov et al. 2017).
Current usage metrics show cumulative count of Article Views (full-text article views including HTML views, PDF and ePub downloads, according to the available data) and Abstracts Views on Vision4Press platform.
Data correspond to usage on the plateform after 2015. The current usage metrics is available 48-96 hours after online publication and is updated daily on week days.
Initial download of the metrics may take a while.