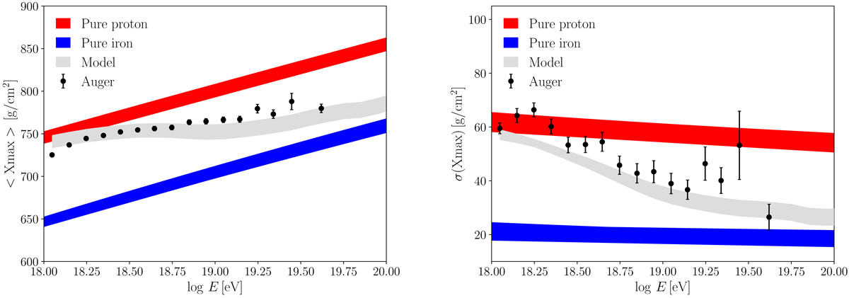
Fig. 4.

Mean and standard deviation of Xmax for the spectrum shown in Fig. 3 (pale gray band). We also show Auger measurements (Aab et al. 2014) with uncertainties (black dots) and simulation results for pure proton injection (red band) and pure iron injection (blue band). The bands are obtained by accounting for hadronic model uncertainties (EPOS-LHC, SIBYLL 2.1 or QGSJET II-04).
Current usage metrics show cumulative count of Article Views (full-text article views including HTML views, PDF and ePub downloads, according to the available data) and Abstracts Views on Vision4Press platform.
Data correspond to usage on the plateform after 2015. The current usage metrics is available 48-96 hours after online publication and is updated daily on week days.
Initial download of the metrics may take a while.