Free Access
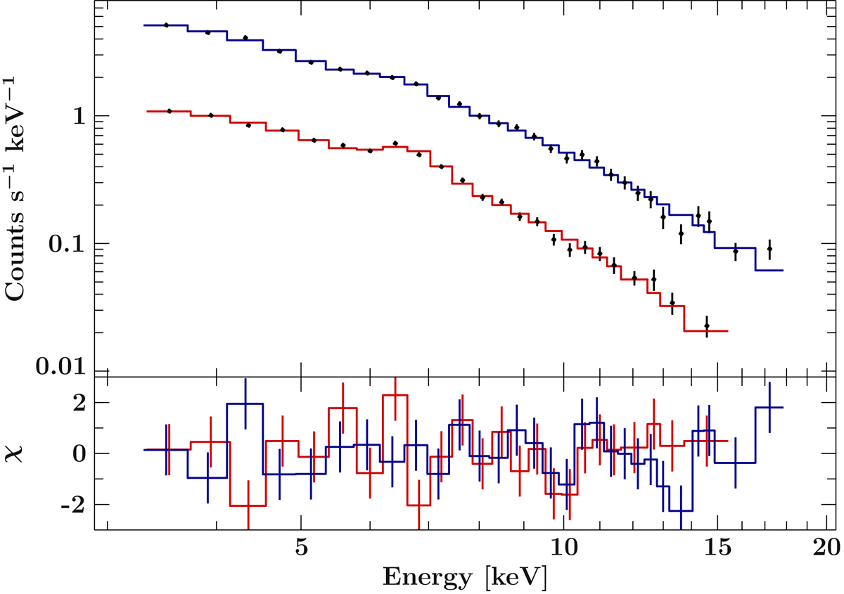
Fig. 2.

Download original image
RXTE-PCA spectrum of the total emission at the source position from the 2003 April observation. The total spectrum is modeled (blue histogram) as the sum of the source contribution and the Galactic ridge emission. The contribution of the Galactic ridge emission alone is also shown (red histogram).
Current usage metrics show cumulative count of Article Views (full-text article views including HTML views, PDF and ePub downloads, according to the available data) and Abstracts Views on Vision4Press platform.
Data correspond to usage on the plateform after 2015. The current usage metrics is available 48-96 hours after online publication and is updated daily on week days.
Initial download of the metrics may take a while.