Free Access
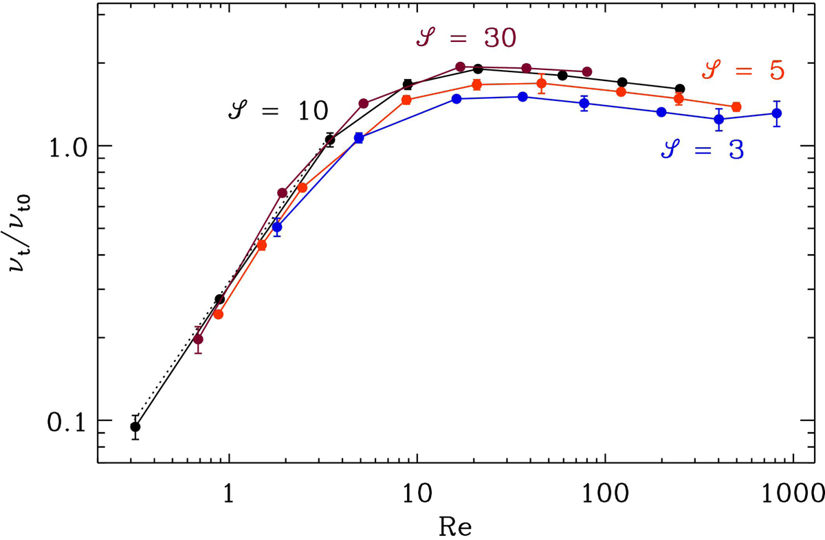
Fig. 5.

Turbulent viscosity νt, normalised by νt0, as a function of the Reynolds number Re for sets of runs with different scale separation ratio 𝒮, but Shc = const. within each of the Sets D (blue), E (red), F (black), and G (purple). The dotted black line is proportional to Re.
Current usage metrics show cumulative count of Article Views (full-text article views including HTML views, PDF and ePub downloads, according to the available data) and Abstracts Views on Vision4Press platform.
Data correspond to usage on the plateform after 2015. The current usage metrics is available 48-96 hours after online publication and is updated daily on week days.
Initial download of the metrics may take a while.