Free Access
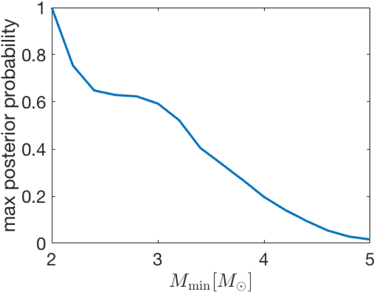
Fig. 4.

Maximum posterior for a given choice of the minimum of the black hole mass distribution Mmin, maximised over λ and α, normalised so that the absolute maximum posterior equals 1.
Current usage metrics show cumulative count of Article Views (full-text article views including HTML views, PDF and ePub downloads, according to the available data) and Abstracts Views on Vision4Press platform.
Data correspond to usage on the plateform after 2015. The current usage metrics is available 48-96 hours after online publication and is updated daily on week days.
Initial download of the metrics may take a while.