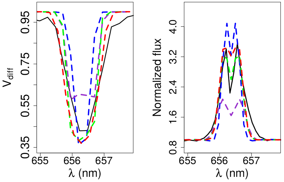
Fig. 14

Bias effect of the disk velocity on Hα modeling. One VEGA measurement and observed Hα profile (BeSOS, as in Fig. 12) are shown in black lines. Our best-fit kinematic (dashed red) and HDUST (dashed blue) models are shown in Hα visibility and line profile. They are compared to HDUST models with a higher mass of 10.8 M⊙ with: Σ0 = 0.12 g cm−2 (dashed orchid) and Σ0 = 0.28 g cm−2 (dashed green). See text for discussion.
Current usage metrics show cumulative count of Article Views (full-text article views including HTML views, PDF and ePub downloads, according to the available data) and Abstracts Views on Vision4Press platform.
Data correspond to usage on the plateform after 2015. The current usage metrics is available 48-96 hours after online publication and is updated daily on week days.
Initial download of the metrics may take a while.