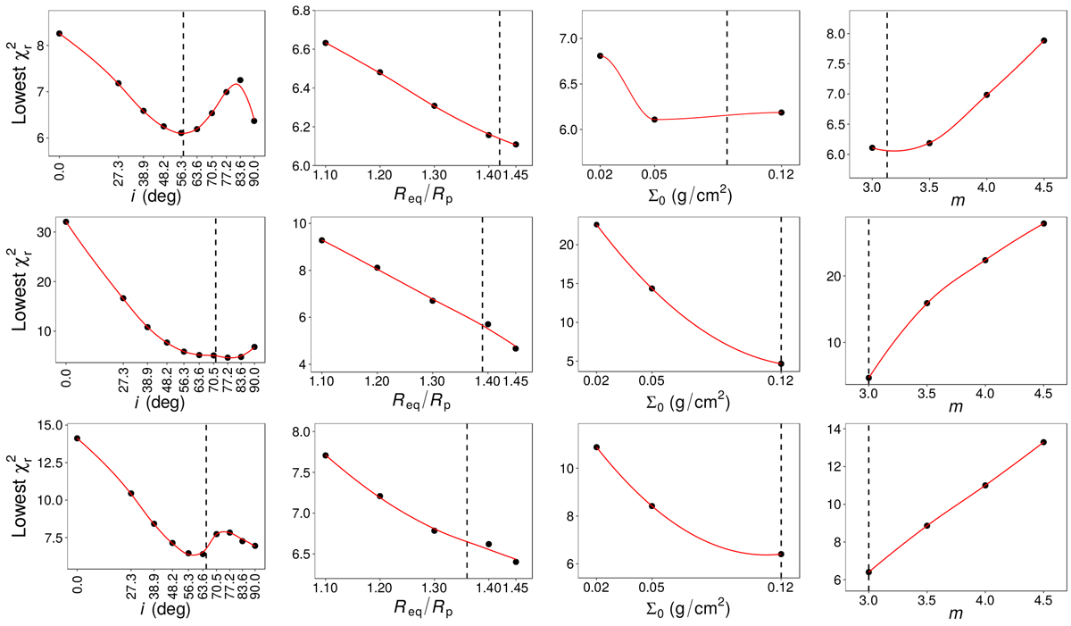
Fig. 9

Lowest value of
for each value of stellar inclination angle, oblateness, base disk surface density, and disk density law exponent from the HDUST fit to the: VEGA differential data (top, analysis (ii)), AMBER differential data (middle, analysis (iii)), and all the interferometric data considered in this section (bottom panel, analysis (iv)). The stellar mass is fixed to 4.2
M⊙ and disk PA to 110°. Local regression fits to
, as a function of the parameter values, are shown as a red line. The mean parameter values for the sets of best models (Table 4) are marked in dashed black line. Our best-fit BeAtlas model to fit all the interferometric data is shown in Table 5. See text for discussion.
Current usage metrics show cumulative count of Article Views (full-text article views including HTML views, PDF and ePub downloads, according to the available data) and Abstracts Views on Vision4Press platform.
Data correspond to usage on the plateform after 2015. The current usage metrics is available 48-96 hours after online publication and is updated daily on week days.
Initial download of the metrics may take a while.