Open Access
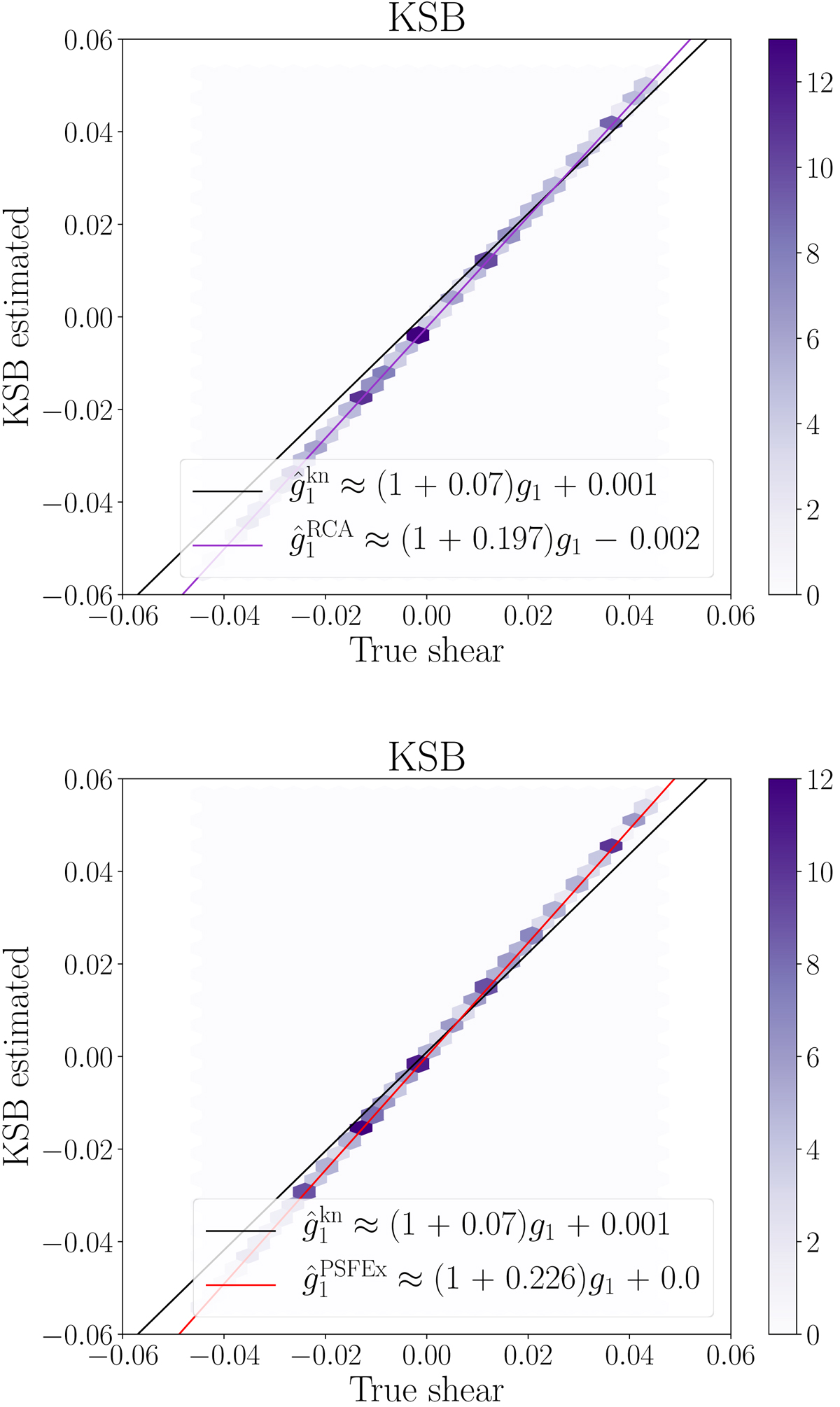
Fig. 13.

Similar to Fig. 12, 2D density of true and measured shear, using PSF models for the latter. The line corresponding to first-order shear bias is shown for both the PSF models (in color) and the best case scenario (in black). Shape measurement is performed using KSB.
Current usage metrics show cumulative count of Article Views (full-text article views including HTML views, PDF and ePub downloads, according to the available data) and Abstracts Views on Vision4Press platform.
Data correspond to usage on the plateform after 2015. The current usage metrics is available 48-96 hours after online publication and is updated daily on week days.
Initial download of the metrics may take a while.