Free Access
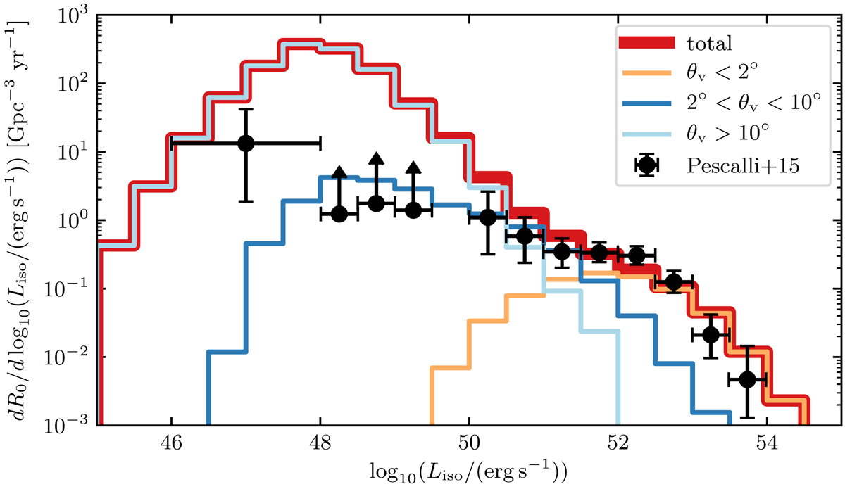
Fig. 4.

LGRB luminosity distribution of our model population (thick solid red histogram) compared to the observed distribution (black points, from Pescalli et al. 2015). Thinner histograms show the luminosity distributions of three sub-classes corresponding to three viewing angle bins, reported in the legend.
Current usage metrics show cumulative count of Article Views (full-text article views including HTML views, PDF and ePub downloads, according to the available data) and Abstracts Views on Vision4Press platform.
Data correspond to usage on the plateform after 2015. The current usage metrics is available 48-96 hours after online publication and is updated daily on week days.
Initial download of the metrics may take a while.