Free Access
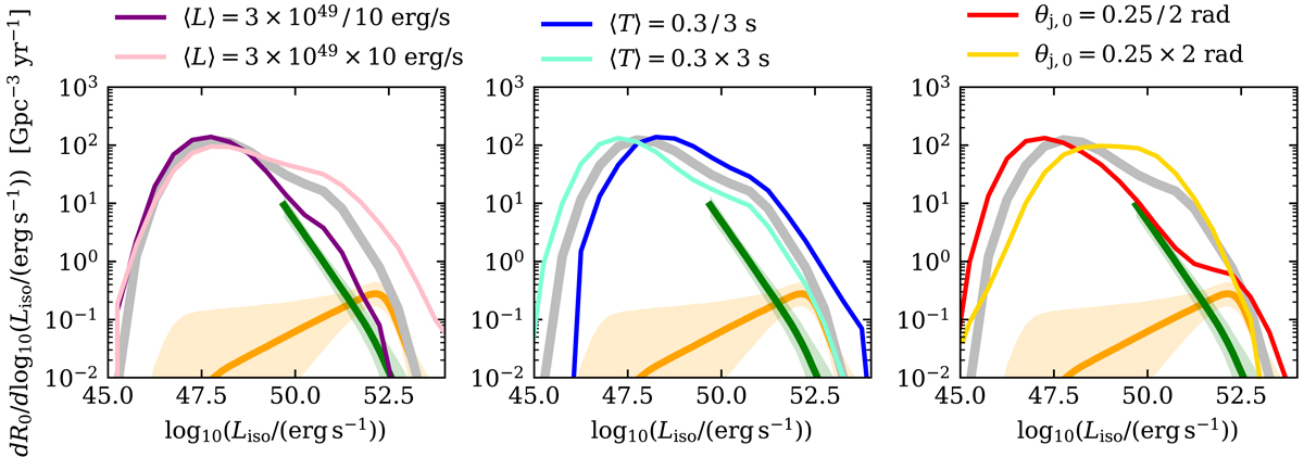
Fig. 9.

Short GRB luminosity function dependence on the parameters of the jet at launch. In each panel, the thick grey line shows the synthetic short GRB luminosity function with fiducial parameters. The thinner, coloured lines show the impact of changing a single parameter. See text for a description of the various dependencies.
Current usage metrics show cumulative count of Article Views (full-text article views including HTML views, PDF and ePub downloads, according to the available data) and Abstracts Views on Vision4Press platform.
Data correspond to usage on the plateform after 2015. The current usage metrics is available 48-96 hours after online publication and is updated daily on week days.
Initial download of the metrics may take a while.