Free Access
Fig. 10

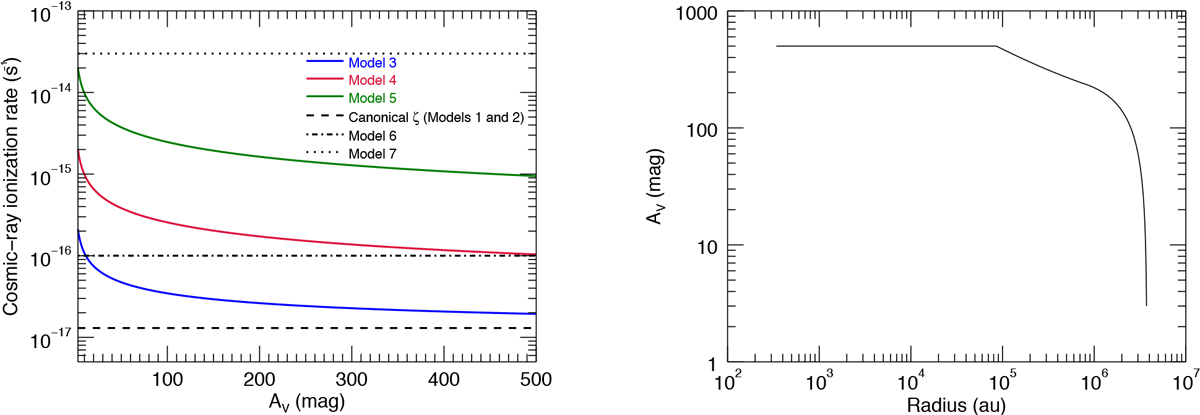
ζ profiles for each model as a function of AV. The dashed line shows the reference value that is typically assumed in hot-core models (1.3 × 10−17 s −1). Recent observational constraints have placed ζ for the diffuse medium around Sgr B2 at 10−15–10−14 s−1. Right panel: AV profile as a function of radius.
Current usage metrics show cumulative count of Article Views (full-text article views including HTML views, PDF and ePub downloads, according to the available data) and Abstracts Views on Vision4Press platform.
Data correspond to usage on the plateform after 2015. The current usage metrics is available 48-96 hours after online publication and is updated daily on week days.
Initial download of the metrics may take a while.