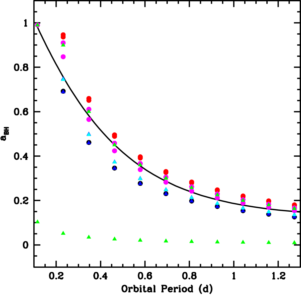
Fig. 5.

Black hole spin magnitudes as a function of the orbital period for our Z = 0.014 (circles) and Z = 0.0004 (triangles) MESA models. The color coding corresponds to the black hole remnants with masses: MBH < 15 M⊙ (black/blue), 15 M⊙ < MBH < 30 M⊙ (cyan/red), MBH > 30 M⊙ (green/magenta). Binary systems with short orbital periods: 0.1−1.3 d and WR stars will produce BHs with broad range of spin magnitudes: 0.15−1. Systems with orbital periods below 0.1 d form black holes from tidally locked WR stars, and the BH spins are maximal. Binaries with an orbital period above 1.3 d produce BHs with spins below 0.2 and typically are not tidally locked at all. A set of the most massive, lowest-metallicity stars have such dense cores that tidal spin-up does not dramatically increase their angular momentum and these stars require orbital periods of less than 0.1 d to have spin values above 0.1 (lower set of green triangles). However, we ignore this fact, and let these cores to be spun-up to estimate the maximal effect of tidal interactions in our models (higher set of green triangles). The black curve shows our fit to the BH spin magnitude as a function of orbital period.
Current usage metrics show cumulative count of Article Views (full-text article views including HTML views, PDF and ePub downloads, according to the available data) and Abstracts Views on Vision4Press platform.
Data correspond to usage on the plateform after 2015. The current usage metrics is available 48-96 hours after online publication and is updated daily on week days.
Initial download of the metrics may take a while.