Free Access
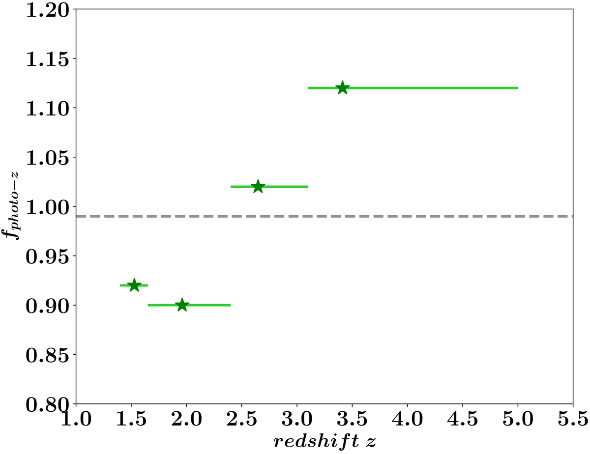
Fig. 16.

Ratio between the number of spectroscopic quasars with correctly and incorrectly assigned redshifts, fphoto-z, as a function of redshift. The redshift intervals match those used to derive the luminosity function in Sect. 6.4. The gray dashed line denotes the median value of fphoto-z.
Current usage metrics show cumulative count of Article Views (full-text article views including HTML views, PDF and ePub downloads, according to the available data) and Abstracts Views on Vision4Press platform.
Data correspond to usage on the plateform after 2015. The current usage metrics is available 48-96 hours after online publication and is updated daily on week days.
Initial download of the metrics may take a while.