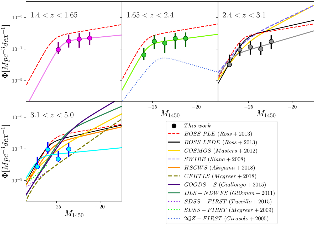
Fig. 19.

Rest-frame M1450 binned luminosity functions of our Boötes RSQ samples (colored circles) for four non-overlapping redshift intervals between 1.4 < z < 5.0. The lines show the corresponding best-fit models in each redshift bin. The best-fitting parameters for each fit are presented in Table 6. For comparison, we show the QLFs from previous works (Cirasuolo et al. 2005; Siana et al. 2008; McGreer et al. 2009, 2018; Glikman et al. 2011; Masters et al. 2012; Ross et al. 2013; Giallongo et al. 2015; Tuccillo et al. 2015; Akiyama et al. 2018) measured over similar redshift intervals. The single-power law fits by McGreer et al. (2009) and Tuccillo et al. (2015) are plotted in the range −29 ≤ M1450 ≤ −26, which is the original range where they were measured.
Current usage metrics show cumulative count of Article Views (full-text article views including HTML views, PDF and ePub downloads, according to the available data) and Abstracts Views on Vision4Press platform.
Data correspond to usage on the plateform after 2015. The current usage metrics is available 48-96 hours after online publication and is updated daily on week days.
Initial download of the metrics may take a while.