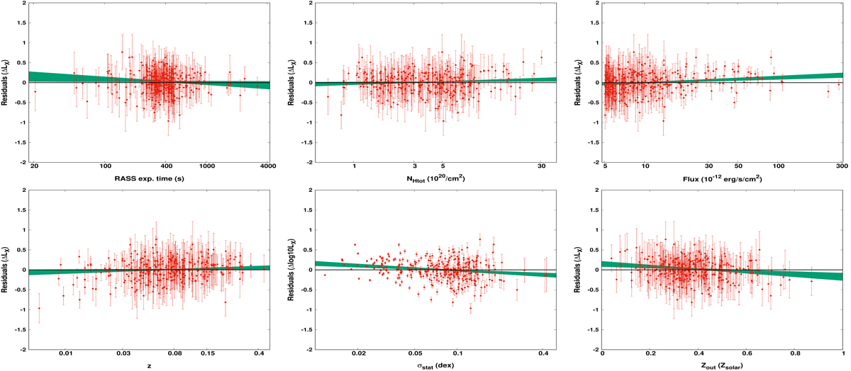
Fig. A.2.

log LX residuals of the 313 clusters as a function of their RASS exposure time (upper left), total hydrogen column density (upper center), flux (upper right), redshift (bottom left), statistical uncertainty (bottom center) and outer metallicity (bottom right). The best-fit relation between the residuals and these quantities is also plotted with its 1σ uncertainty (green area). The black line represents the best-fit model for the full sample against which the residuals are calculated.
Current usage metrics show cumulative count of Article Views (full-text article views including HTML views, PDF and ePub downloads, according to the available data) and Abstracts Views on Vision4Press platform.
Data correspond to usage on the plateform after 2015. The current usage metrics is available 48-96 hours after online publication and is updated daily on week days.
Initial download of the metrics may take a while.