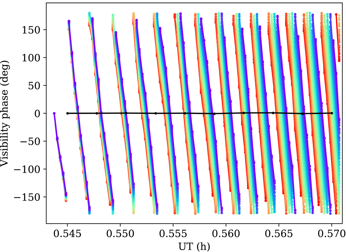
Fig. 8.

Visibility phase versus time at different calibration stages. A subset of the phases on the ALMA-LMT baseline observing a 4 Jy point source is shown. The colours represent the 64 channels, spanning 2 GHz before calibration, with a time resolution of 1 s. After fringe fitting, the visibilities are averaged in frequency and down to a time scale of 10 s (black points).
Current usage metrics show cumulative count of Article Views (full-text article views including HTML views, PDF and ePub downloads, according to the available data) and Abstracts Views on Vision4Press platform.
Data correspond to usage on the plateform after 2015. The current usage metrics is available 48-96 hours after online publication and is updated daily on week days.
Initial download of the metrics may take a while.