Open Access
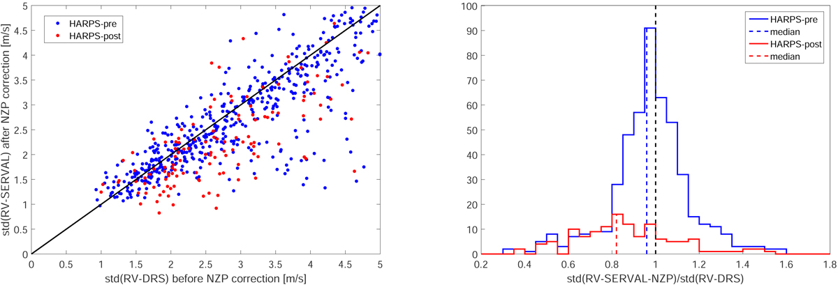
Fig. 15.

Combined effect of extracting HARPS RVs with SERVAL and correcting for the NZPs. Only stars with > 10 RVs and an observing time span of > 7 d are displayed (485 stars from HARPS pre-RV, and 126 stars from HARPS post-RV).
Current usage metrics show cumulative count of Article Views (full-text article views including HTML views, PDF and ePub downloads, according to the available data) and Abstracts Views on Vision4Press platform.
Data correspond to usage on the plateform after 2015. The current usage metrics is available 48-96 hours after online publication and is updated daily on week days.
Initial download of the metrics may take a while.