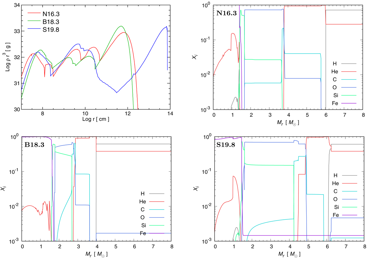
Fig. 1.

Radial profiles of ρr3 of the pre-SN models considered in this paper (upper left panel) and mass fractions of selected elements (see legend in each panel) versus the interior mass Mr in the pre-SN models N16.3 (upper right; Nomoto & Hashimoto 1988; Shigeyama & Nomoto 1990), B18.3 (lower left; Urushibata et al. 2018), and S19.8 (lower right; Woosley et al. 2002; Sukhbold et al. 2016).
Current usage metrics show cumulative count of Article Views (full-text article views including HTML views, PDF and ePub downloads, according to the available data) and Abstracts Views on Vision4Press platform.
Data correspond to usage on the plateform after 2015. The current usage metrics is available 48-96 hours after online publication and is updated daily on week days.
Initial download of the metrics may take a while.