Free Access

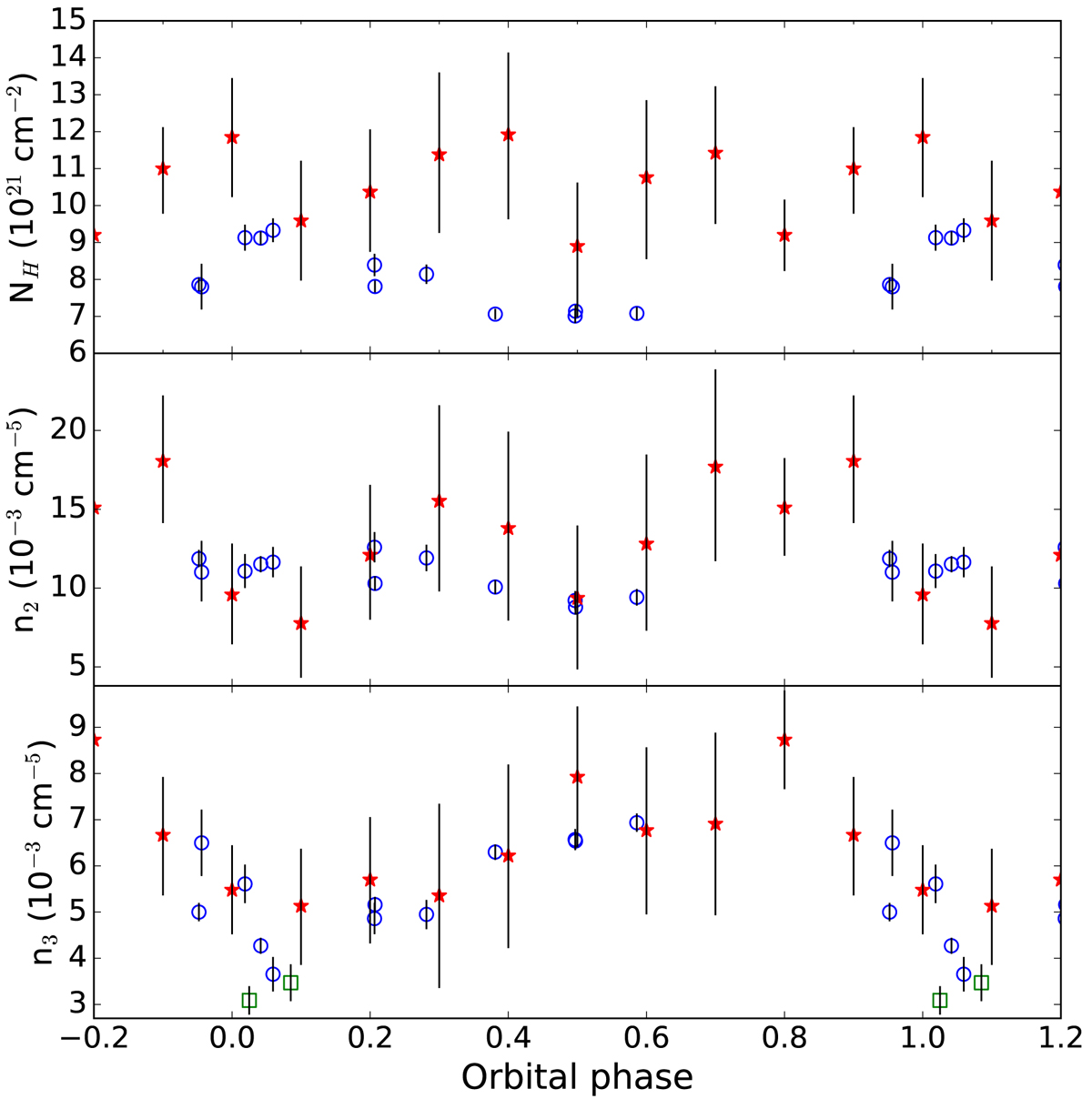
Fig. 3.

image

Evolution with phase of the absorption and normalisation factors from the fit with three APEC components whose temperatures and n1 component were fixed. The red asterisks, blue circles, and green squares indicate the spectral parameters from the Swift, XMM-Newton, and NuSTAR fits, respectively.

Current usage metrics show cumulative count of Article Views (full-text article views including HTML views, PDF and ePub downloads, according to the available data) and Abstracts Views on Vision4Press platform.

Data correspond to usage on the plateform after 2015. The current usage metrics is available 48-96 hours after online publication and is updated daily on week days.

Initial download of the metrics may take a while.