Open Access

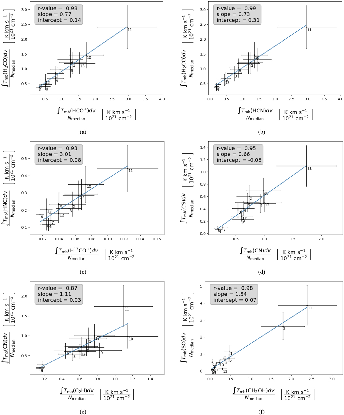
Fig. B.6

image

Examples of correlation plots between species. The numbers refer to the region identifiers listed in Table 3. Due to the small number of samples, the r-value should be viewed with caution; it only gives an indication of possible correlation. The error bars indicate the assumed 30% uncertainty.

Current usage metrics show cumulative count of Article Views (full-text article views including HTML views, PDF and ePub downloads, according to the available data) and Abstracts Views on Vision4Press platform.

Data correspond to usage on the plateform after 2015. The current usage metrics is available 48-96 hours after online publication and is updated daily on week days.

Initial download of the metrics may take a while.