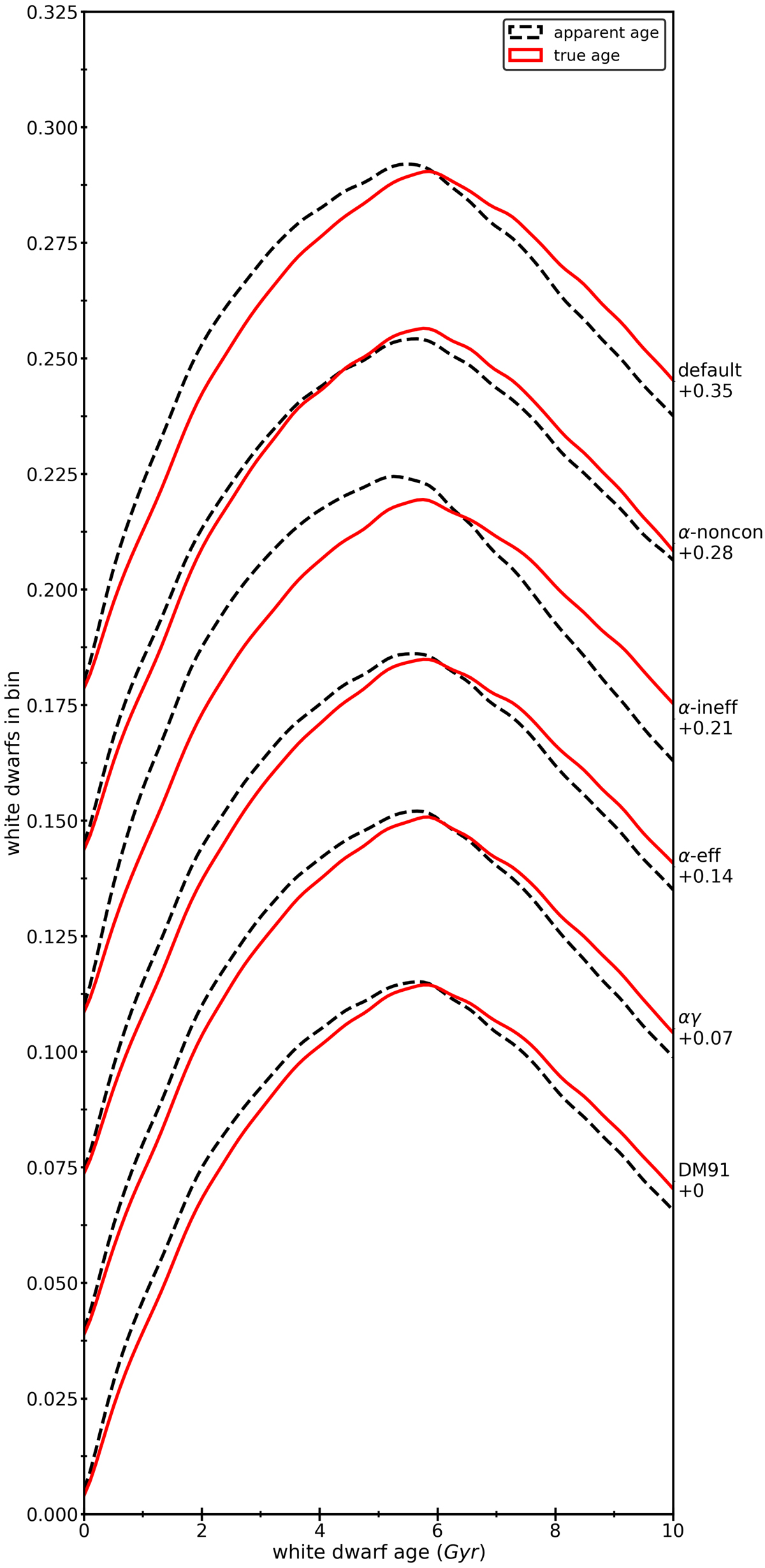
Fig. 8.

Distributions of WD ages including single WDs from both binary mergers and isolated single stars. For each model, the dashed black line indicates the apparent age distribution, whilst the solid red line indicates the true age distribution. The distributions shown include an offset (indicated on the right y-axis) for visibility.
Current usage metrics show cumulative count of Article Views (full-text article views including HTML views, PDF and ePub downloads, according to the available data) and Abstracts Views on Vision4Press platform.
Data correspond to usage on the plateform after 2015. The current usage metrics is available 48-96 hours after online publication and is updated daily on week days.
Initial download of the metrics may take a while.