Free Access

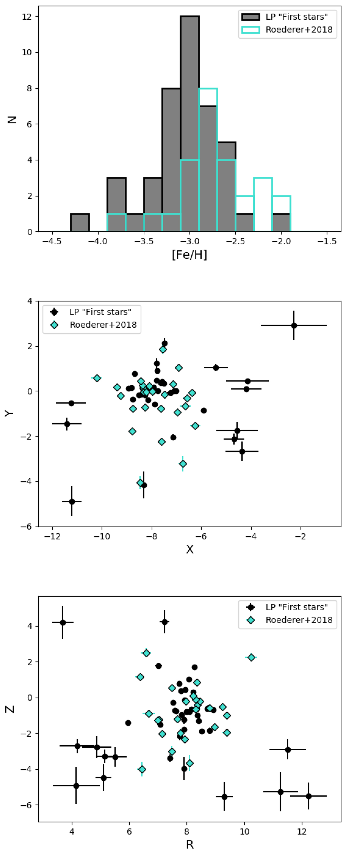
Fig. 10.

image

From top to bottom: [Fe/H] distribution of stars in LP First stars sample (grey histogram), compared to [Fe/H] distribution of stars in the Roederer et al. (2018) sample (turquoise); distribution in the X − Y plane of stars in LP First stars sample (black points) and of stars in Roederer et al. (2018) sample (turquoise diamonds); distribution in meridional, R − Z, plane of stars in LP First stars sample (black points), and of stars in Roederer et al. (2018) sample (turquoise diamonds).

Current usage metrics show cumulative count of Article Views (full-text article views including HTML views, PDF and ePub downloads, according to the available data) and Abstracts Views on Vision4Press platform.

Data correspond to usage on the plateform after 2015. The current usage metrics is available 48-96 hours after online publication and is updated daily on week days.

Initial download of the metrics may take a while.