Free Access

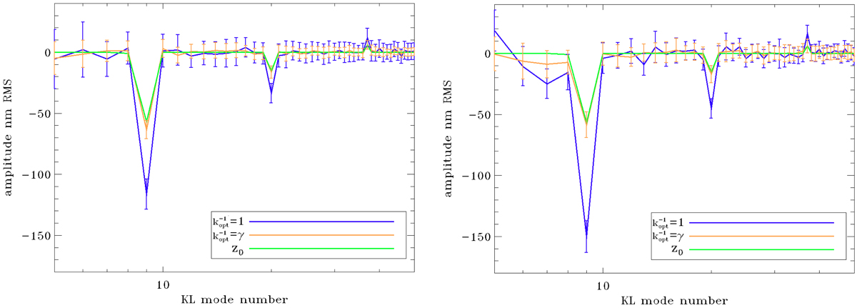
Fig. 9.

image

Injected modal offset z0 (green) compared with the average modal amplitude of the DM (wavefront) measured with (orange) and without (blue) optical gain correction. Left: case with injected disturbance equivalent to 0.8″ of seeing. The lower modes (1–4) are not reported, being affected by the correction of the optical system alignment drifts. Right: case with injected disturbance equivalent to 1.2″ of seeing.

Current usage metrics show cumulative count of Article Views (full-text article views including HTML views, PDF and ePub downloads, according to the available data) and Abstracts Views on Vision4Press platform.

Data correspond to usage on the plateform after 2015. The current usage metrics is available 48-96 hours after online publication and is updated daily on week days.

Initial download of the metrics may take a while.