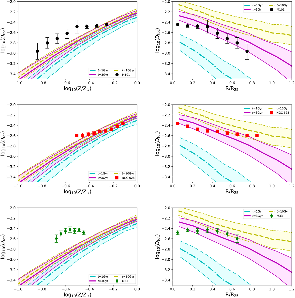
Fig. 3.

Comparison of the variation of the dust-to-gas mass ratio (Dtot) with metallicity (left) and galactocentric radius (right) for M 101 (top), NGC 628 (middle), and M 33 (bottom) with the SPH simulations of an isolated galaxy performed by Aoyama et al. (2017) and Hou et al. (2017). Thick lines represent mean values for each model in the simulation and the coloured areas cover the 25 and 75 percentile of the particle distribution. A solar metallicity of Z⊙ = 0.02 has been adopted for our observations for consistency with the solar metallicity assumed in the simulations.
Current usage metrics show cumulative count of Article Views (full-text article views including HTML views, PDF and ePub downloads, according to the available data) and Abstracts Views on Vision4Press platform.
Data correspond to usage on the plateform after 2015. The current usage metrics is available 48-96 hours after online publication and is updated daily on week days.
Initial download of the metrics may take a while.