Free Access

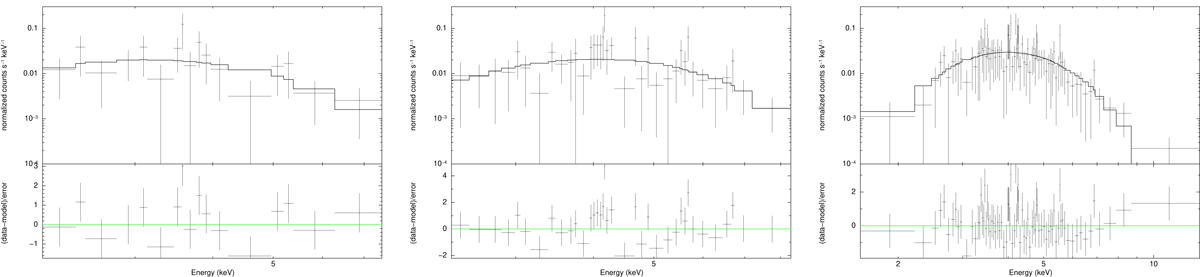
Fig. C.1.

image

Spectra of X-ray flares 1 to 3 (left to right) observed with Chandra. The vertical bars are the 1σ error in the count rate and the horizontal bars show the spectral bin energies. The events have been grouped with a minimum of two counts per bin. Top panels: best-fit is shown by the continuous solid line. Bottom panels: residuals in units of σ.

Current usage metrics show cumulative count of Article Views (full-text article views including HTML views, PDF and ePub downloads, according to the available data) and Abstracts Views on Vision4Press platform.

Data correspond to usage on the plateform after 2015. The current usage metrics is available 48-96 hours after online publication and is updated daily on week days.

Initial download of the metrics may take a while.