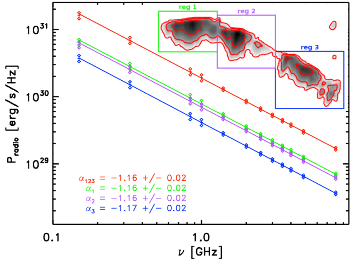
Fig. 8.

Integrated spectra for the radio relic in a recent cosmological numerical simulation (Wittor et al. 2019). The red diamonds give the integrated spectrum of the whole relic, while the other diamonds give the spectra for the three subregions as in the inset (the color map gives the total intensity of the radio emission at 1.4 GHz. The simulated relic is ≈1.2 Mpc in size.
Current usage metrics show cumulative count of Article Views (full-text article views including HTML views, PDF and ePub downloads, according to the available data) and Abstracts Views on Vision4Press platform.
Data correspond to usage on the plateform after 2015. The current usage metrics is available 48-96 hours after online publication and is updated daily on week days.
Initial download of the metrics may take a while.