Free Access

Fig. 2

image

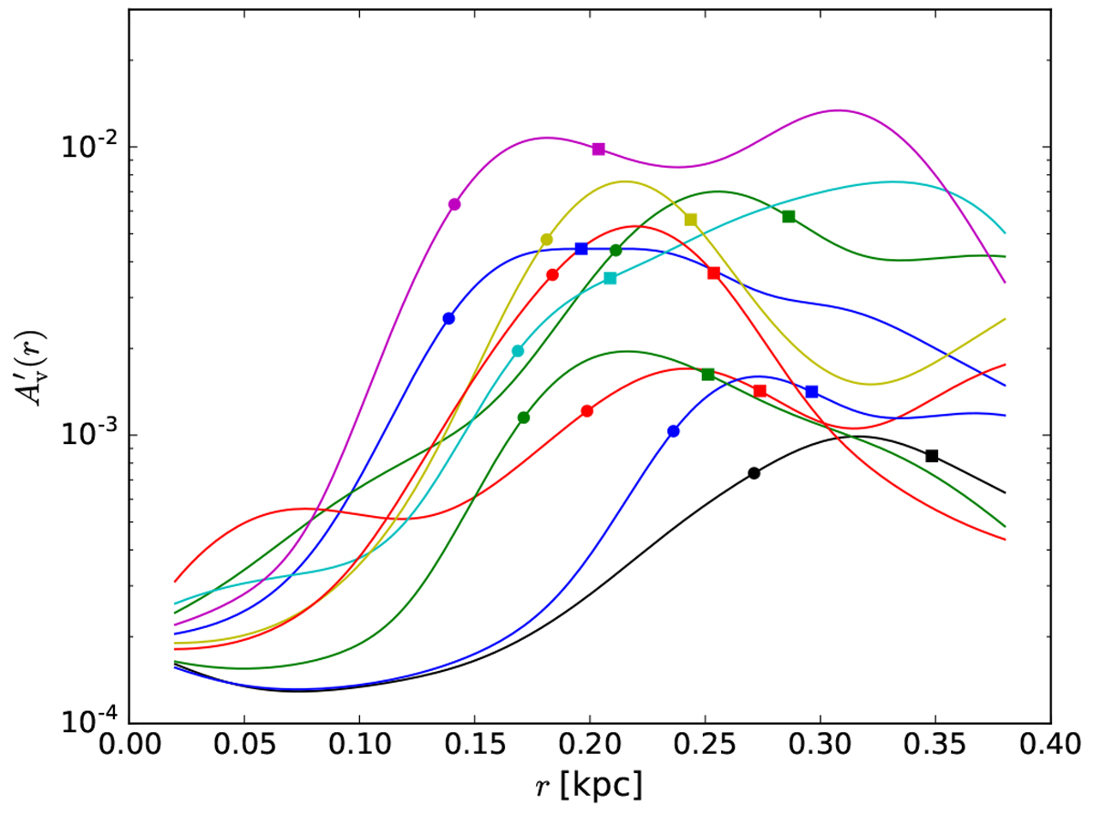
Example of radial profiles of differential extinction () as a functionof distance to the Sun (r). Ten lines of sight were randomly chosen in theXYplane of the Galaxy. For each profile, the inner and outer radii of the LB shell, as determined in Sect. 2.2.1, are marked with filled circle and square, respectively.

Current usage metrics show cumulative count of Article Views (full-text article views including HTML views, PDF and ePub downloads, according to the available data) and Abstracts Views on Vision4Press platform.

Data correspond to usage on the plateform after 2015. The current usage metrics is available 48-96 hours after online publication and is updated daily on week days.

Initial download of the metrics may take a while.