Free Access

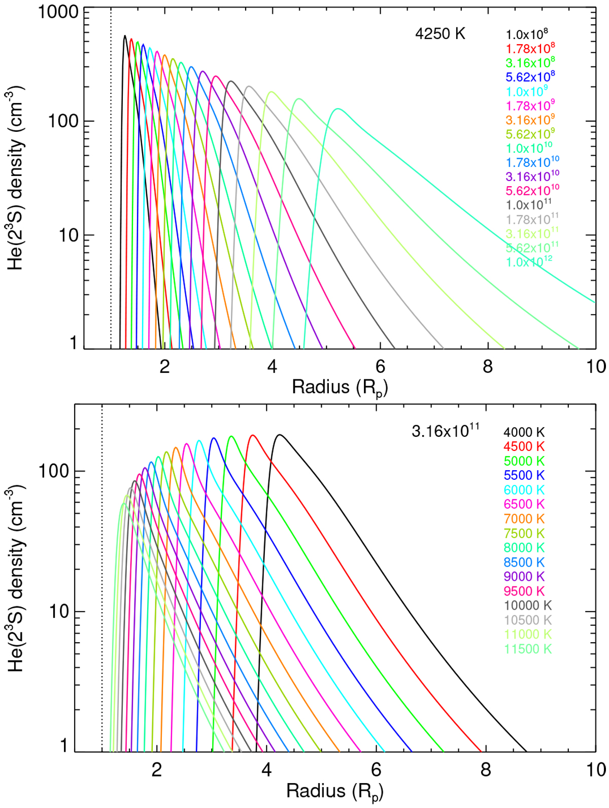
Fig. 4

image

Density profiles of the helium triplet state showing the mass-loss rate dependence for a temperature of 4250 K (top panel) and the temperature dependence for a mass-loss rate of 3.16 × 1011g s−1 (bottom panel). An H/He ratio of 90/10 was assumed.

Current usage metrics show cumulative count of Article Views (full-text article views including HTML views, PDF and ePub downloads, according to the available data) and Abstracts Views on Vision4Press platform.

Data correspond to usage on the plateform after 2015. The current usage metrics is available 48-96 hours after online publication and is updated daily on week days.

Initial download of the metrics may take a while.