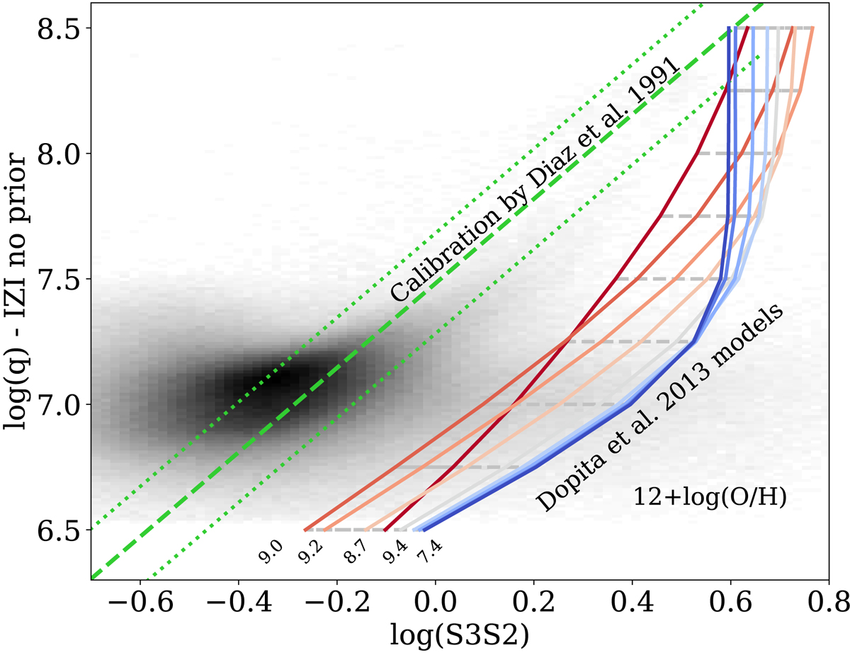
Fig. 6.

Distribution of log(q) as a function of log(S3S2) inferred with IZI with a flat prior on the ionisation parameter, shown in shades of grey. The green dashed line shows the log(q) values obtained with Eq. (2) (Diaz et al. 1991), while the green dotted lines represent the ±0.2 dex scatter around this relation. The models of D13 are shown in colour (red to blue, going from higher to lower metallicity).
Current usage metrics show cumulative count of Article Views (full-text article views including HTML views, PDF and ePub downloads, according to the available data) and Abstracts Views on Vision4Press platform.
Data correspond to usage on the plateform after 2015. The current usage metrics is available 48-96 hours after online publication and is updated daily on week days.
Initial download of the metrics may take a while.