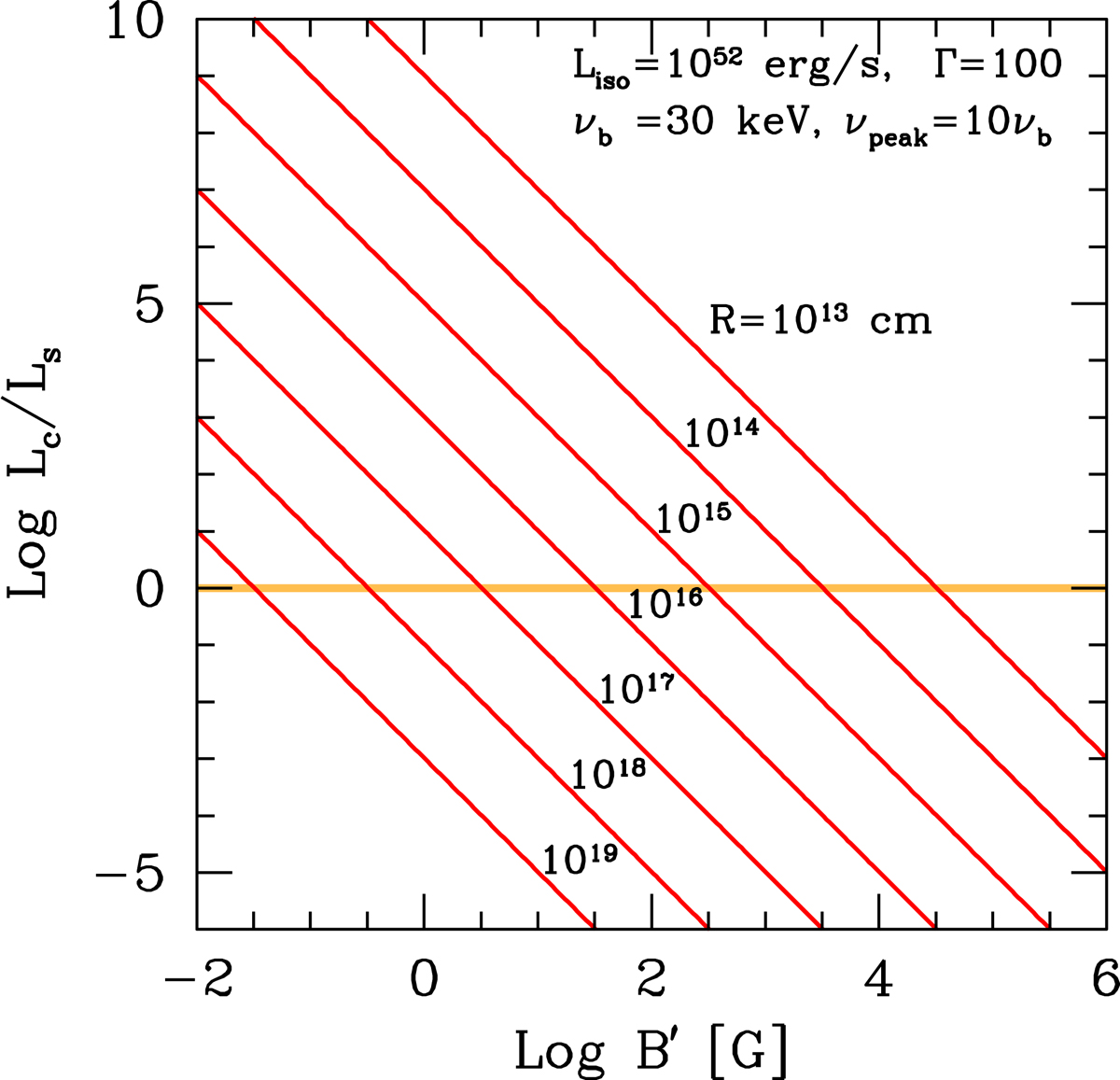
Fig. 3.

Ratio of the Compton to synchrotron luminosity predicted for the same parameters as in Fig. 2. In this case we have considered the entire distribution of electrons: for each electron energy, we considered the corresponding synchrotron radiation energy that is scattered in the Thomson regime. The horizontal orange line corresponds to equal synchrotron and self-Compton luminosities.
Current usage metrics show cumulative count of Article Views (full-text article views including HTML views, PDF and ePub downloads, according to the available data) and Abstracts Views on Vision4Press platform.
Data correspond to usage on the plateform after 2015. The current usage metrics is available 48-96 hours after online publication and is updated daily on week days.
Initial download of the metrics may take a while.