Free Access
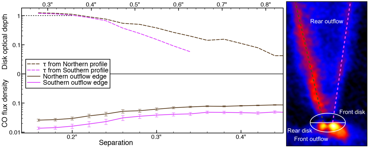
Fig. 3

Illustration of the method used to infer the inner disk optical depth. Left: radial profile of both outflow edges (below) and the estimated disk optical depth (above). The extent of the top panel has been corrected for the inclination. Right: sketch of the geometry used to extract the radial profiles.
Current usage metrics show cumulative count of Article Views (full-text article views including HTML views, PDF and ePub downloads, according to the available data) and Abstracts Views on Vision4Press platform.
Data correspond to usage on the plateform after 2015. The current usage metrics is available 48-96 hours after online publication and is updated daily on week days.
Initial download of the metrics may take a while.