Free Access

Fig. 10.

image

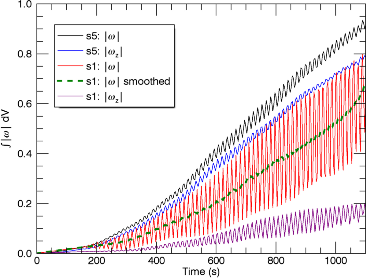
Volume integrated vorticity for the different initial fields (black and red). We also include a time-running average for the less complex initial equilibrium (green). The blue and purple curves show the vertical component of the vorticity and are a measure of the phase mixing for the two field configurations.

Current usage metrics show cumulative count of Article Views (full-text article views including HTML views, PDF and ePub downloads, according to the available data) and Abstracts Views on Vision4Press platform.

Data correspond to usage on the plateform after 2015. The current usage metrics is available 48-96 hours after online publication and is updated daily on week days.

Initial download of the metrics may take a while.