Free Access

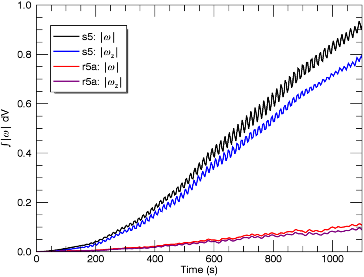
Fig. 14.

image

Volume integrated vorticity for the s5 (black curve) and r5a (red curve) simulations. The blue and purple curves show the vertical component of the vorticity and are a measure of the phase mixing for the two wave drivers.

Current usage metrics show cumulative count of Article Views (full-text article views including HTML views, PDF and ePub downloads, according to the available data) and Abstracts Views on Vision4Press platform.

Data correspond to usage on the plateform after 2015. The current usage metrics is available 48-96 hours after online publication and is updated daily on week days.

Initial download of the metrics may take a while.