Free Access
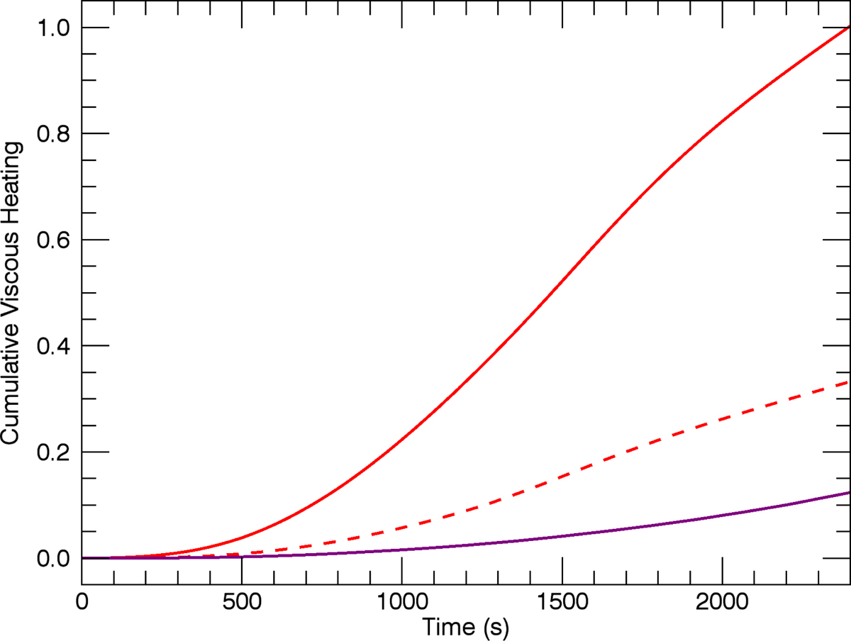
Fig. 17.

Cumulative viscous heating for the s5 simulation with Reynolds numbers of ∼103 (solid red line) and ∼104 (dashed red line) and for the r5a simulation with a Reynolds number of ∼103 purple line. Here we have normalised by the total heating in the solid red curve simulation.
Current usage metrics show cumulative count of Article Views (full-text article views including HTML views, PDF and ePub downloads, according to the available data) and Abstracts Views on Vision4Press platform.
Data correspond to usage on the plateform after 2015. The current usage metrics is available 48-96 hours after online publication and is updated daily on week days.
Initial download of the metrics may take a while.