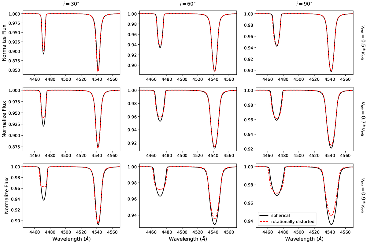
Fig. 8

Comparison of He I λ4471 and He II λ4541 line profiles when assuming spherical geometry and rotational distortion for a rapidly rotating system in black and red respectively.Three different rotation rates (indicated on the right of the figure and three different inclinations (indicated above the figure) are plotted for comparison.
Current usage metrics show cumulative count of Article Views (full-text article views including HTML views, PDF and ePub downloads, according to the available data) and Abstracts Views on Vision4Press platform.
Data correspond to usage on the plateform after 2015. The current usage metrics is available 48-96 hours after online publication and is updated daily on week days.
Initial download of the metrics may take a while.