Free Access

This article has an erratum: [https://doi.org/10.1051/0004-6361/201937383e]


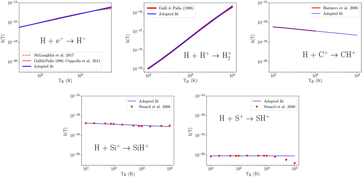
Fig. B.1

image

Adopted radiative association rate coefficients. Red lines and red dots are computed or measured rate coefficients taken from references indicated in Table B.1, and blue lines are the Arrhenius fits used in this work.

Current usage metrics show cumulative count of Article Views (full-text article views including HTML views, PDF and ePub downloads, according to the available data) and Abstracts Views on Vision4Press platform.

Data correspond to usage on the plateform after 2015. The current usage metrics is available 48-96 hours after online publication and is updated daily on week days.

Initial download of the metrics may take a while.