Free Access

This article has an erratum: [https://doi.org/10.1051/0004-6361/201937383e]


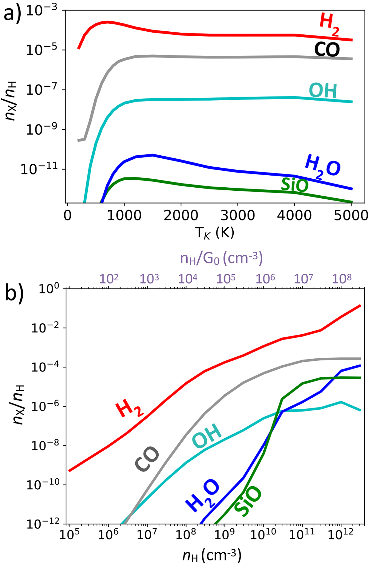
Fig. 6

image

Steady-state abundances relative to total H nuclei for relevant molecular species from single point models in the absence of dust. Panel a: abundances as a function of temperature for G0 = 104, W = 5 × 10−7, and nH = 109 cm−3, panel b: abundances as a function of nH (lower axis) and nHG0 (upper axis) for TK = 1000 K, G0 = 104, and W = 5 × 10−7.

Current usage metrics show cumulative count of Article Views (full-text article views including HTML views, PDF and ePub downloads, according to the available data) and Abstracts Views on Vision4Press platform.

Data correspond to usage on the plateform after 2015. The current usage metrics is available 48-96 hours after online publication and is updated daily on week days.

Initial download of the metrics may take a while.