Free Access

This article has an erratum: [https://doi.org/10.1051/0004-6361/201937383e]


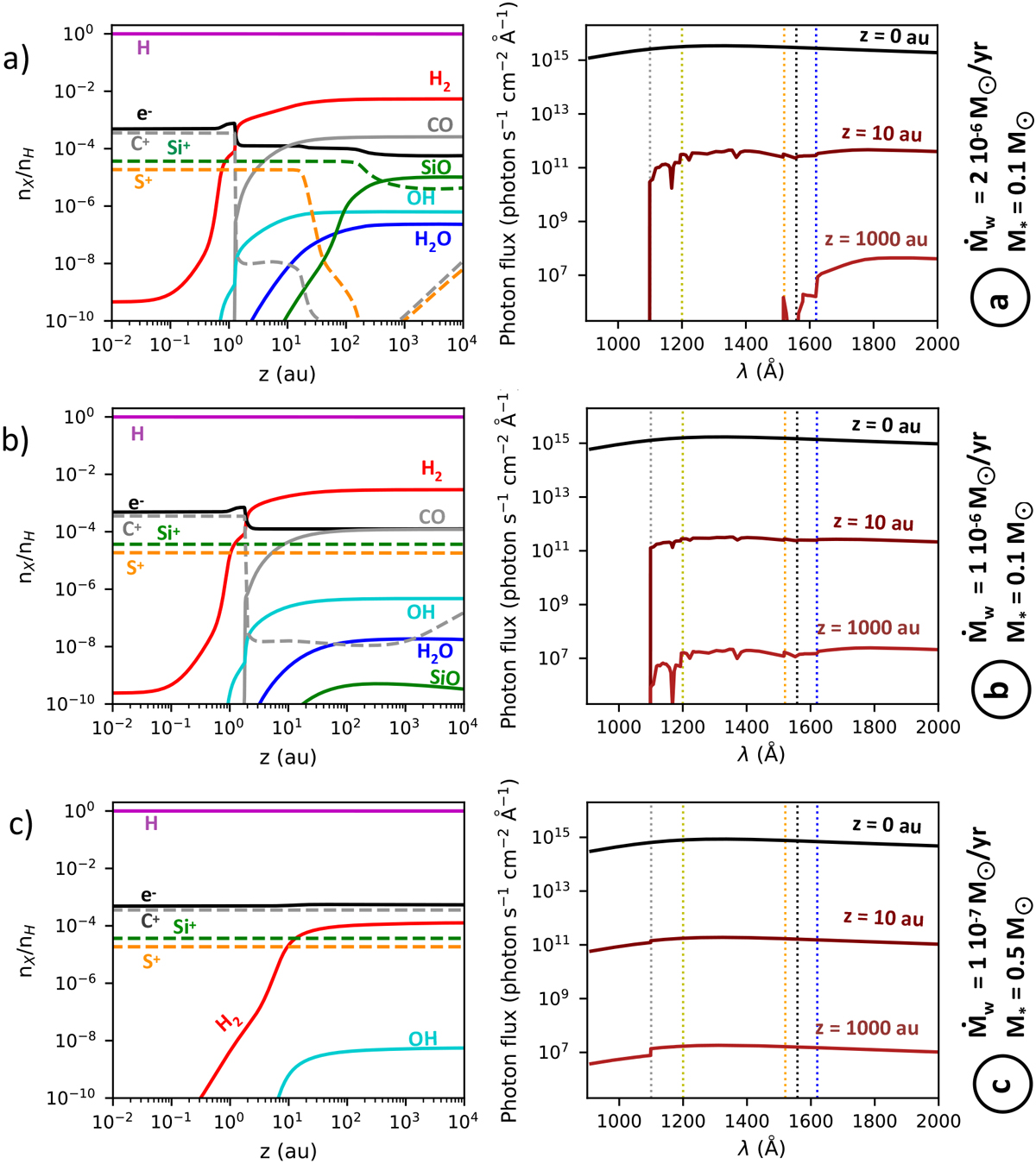
Fig. 9

image

Computed chemical abundances and local FUV radiation field for dust-free isothermal wind models for TK = 1000 K. Left panels: chemical abundances relative to total H nuclei. Right panels: local mean intensity of the FUV radiation field at various positions along the wind (position indicated on the curves). Photoionization thresholds of C, S, Si, Mg, and Fe are also indicated by gray, yellow, orange, black, and blue dashed lines, respectively. Row a: Class 0 model with w = 2 × 10−6 M yr−1 and M* = 0.1 M. Row b: Class 0 model with a lower mass-loss rate w = 10−6 M yr−1 and same mass. Row c: Class I model, with lower accretion rate w = 10−7   M yr−1 but higher mass M* = 0.5 M.

Current usage metrics show cumulative count of Article Views (full-text article views including HTML views, PDF and ePub downloads, according to the available data) and Abstracts Views on Vision4Press platform.

Data correspond to usage on the plateform after 2015. The current usage metrics is available 48-96 hours after online publication and is updated daily on week days.

Initial download of the metrics may take a while.