Open Access
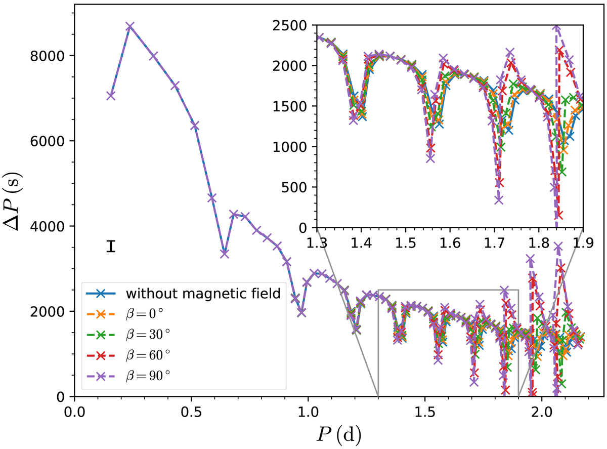
Fig. 2.

Period spacings of g modes with radial orders from −1 (left) to −74 (right) as a function of the period in the inertial frame for ℓ = 1, m = 0, B0 = 105 G, and different obliquity angles. The vertical black bar on the left represents a typical observational error bar of 250 s (Van Reeth et al. 2015b).
Current usage metrics show cumulative count of Article Views (full-text article views including HTML views, PDF and ePub downloads, according to the available data) and Abstracts Views on Vision4Press platform.
Data correspond to usage on the plateform after 2015. The current usage metrics is available 48-96 hours after online publication and is updated daily on week days.
Initial download of the metrics may take a while.